The known Indigenous Australians with end-stage kidney disease are less likely to receive a kidney transplant than non-Indigenous Australians, and those who undergo transplantation have waited longer for a donor organ.
The new Indigenous patients were less likely than non-Indigenous patients to be added to the transplantation waiting list during the first year of renal replacement therapy; this disparity was not explained by differences in patient- and disease-related factors. The likelihood of transplantation during the first year of wait-listing was similar for both groups, but significantly lower for Indigenous patients in subsequent years. There are probably unmeasured confounding factors that influence wait-listing and transplantation rates.
The implications Changes in policy and practice are needed to improve the access of Indigenous patients to kidney transplantation.
The incidence and prevalence of end-stage kidney disease are higher among Indigenous than non-Indigenous Australians, particularly among those aged 15–64 years.1,2 Kidney transplantation is the preferred treatment for most patients with end-stage kidney disease, especially in this age group.3,4 Disparities between Indigenous and non-Indigenous Australians with regard to wait-listing and transplantation have been identified,5,6 but the relevant studies are relatively old for an area in which practice has changed substantially. Further, the waiting list information assessed was drawn from the yearly Australia and New Zealand Dialysis and Transplant Registry (ANZDATA) cross-sectional survey of renal units rather than directly from the waiting list and lacked important details, including the date of being placed on the waiting list.5
Since 2006, information about kidney transplantation waiting lists is directly incorporated into the ANZDATA registry, and the National Organ Matching Systems (NOMS) database provides the exact date of being added to the waiting list. Subsequent changes to waiting list status (eg, active, interim, removal), however, are not consistently coded. The availability of renal health care has changed substantially since the most recent published reports5,6 (especially in remote Australia), and the number of deceased donors has increased substantially. We therefore examined the likelihood of Indigenous Australians being placed on the waiting list for transplantation of a kidney from a deceased donor, and the likelihood of transplantation and of death while waiting for transplantation.
Methods
Inclusion and exclusion
All patients registered with ANZDATA who started renal replacement therapy (RRT; dialysis or transplantation) in Australia between 28 June 2006 (NOMS database start date) and 31 December 2016 and were 18–60 years old when they commenced RRT were included. The ANZDATA registry collects data for all patients with end-stage kidney disease treated long term with RRT in Australia. The registry also receives the data from NOMS for all registered patients with end-stage kidney disease on the kidney transplantation waiting list. We analysed a de-identified extract from these data. The patients were classified according to their Indigenous status (Indigenous [Aboriginal and Torres Strait Islander] or non-Indigenous Australians) as reported by the treating hospital and recorded in ANZDATA.
Patients who underwent pre-emptive kidney transplantation or multiple organ transplantation were excluded.
Outcomes
The primary outcomes were:
-
Time to wait-listing: time between starting RRT and when the patient was first active on the waiting list. Analyses were censored for factors that lead to patients being removed from the waiting list for transplantation from a deceased donor (transplantation from living donors, recovery of renal function, loss to follow-up, death before activation on the waiting list) and at the end of follow-up (31 December 2016).
-
Time to kidney transplantation after wait-listing: the time from first date of active wait-listing to the date of transplantation, censored for living donor transplantation, death, and end of follow-up (31 December 2016). The analysis was not adjusted for intermittent removal of the patient from the waiting list (“de-activation”) because this information was not always available.
We examined the association between predictors for wait-listing and the likelihood of placement on the waiting list, including Indigenous status, age at the start of RRT, sex, body mass index (BMI), primary renal disease, comorbid conditions (diabetes, coronary artery disease, cerebrovascular disease, peripheral vascular disease, chronic lung disease), late referral, year of RRT initiation, remoteness, and the state where RRT started. Types 1 and 2 diabetes were combined because of low patient numbers. The likelihood of transplantation and of death for those on the waiting list was compared by Indigenous status.
Statistical analysis
Frequencies are presented as medians with interquartile ranges (IQRs). Baseline characteristics were compared in Wilcoxon signed rank tests and Pearson χ2 tests. The frequencies of comorbid conditions in the two groups were compared using logistic regression. Time to wait-listing and time from wait-listing to kidney transplantation were assessed in Cox proportional hazards models, adopting a piecewise approach to maintain the proportional hazards assumption.7 The models were adjusted for age, sex, BMI, comorbid conditions, primary renal disease, period of RRT commencement (2006–2009, 2010–2013, 2014–2016), late referral, state where RRT was started, and remoteness. Remoteness was defined by Australian Bureau of Statistics (ABS) remoteness categories, by linking ABS postcode of residence concordance data8 with the postcode recorded in the ANZDATA record for the start of RRT. To account for variation in clinical practice that might affect wait-listing and subsequent transplantation, a shared frailty model9 was used for the state in which RRT started. Shared frailty is a random component designed to account for variability caused by unobserved individual-level factors unaccounted for by the other predictors in the model. Clinically significant interactions between Indigenous status and other variables (age, sex, BMI, smoking, coronary artery disease, chronic lung disease, cerebrovascular disease, peripheral vascular disease, late referral, primary renal disease, remoteness) were examined; they were included in the final multivariate model if statistically significant. P < 0.05 was deemed significant for main effects and interactions. Statistical analyses were conducted in Stata 15.0 (StataCorp).
Ethics approval
The study was approved by the human research ethics branch of the Office of Research Ethics, Compliance and Integrity of the University of Adelaide (reference, H2016-096).
Results
Patients waiting to be placed on the waiting list: baseline characteristics
A total of 10 839 patients were eligible for inclusion, of whom 2039 (19%) were Indigenous Australians. The proportions of women and patients with comorbid conditions (type 2 diabetes, coronary artery disease, cerebrovascular disease, chronic lung disease, peripheral vascular disease), and the prevalence of smoking were higher among Indigenous than non-Indigenous Australians. Most non-Indigenous patients (72%) lived in the major cities of Australia, whereas 38% of Indigenous patients lived in regional areas and 46% in remote or very remote areas (Box 1). The distributions of comorbid conditions in the Indigenous group were similar for all remoteness categories, and were similar for Indigenous and non-Indigenous groups in the same remoteness categories (data not shown). The median time to wait-listing was longer for Indigenous than non-Indigenous patients (942 days [IQR, 439–1775 days] v 416 days [IQR, 166–1004 days]) (Box 1).
Likelihood of wait-listing after commencement of renal replacement therapy
In the unadjusted model, the cumulative incidence of wait-listing grew more slowly and was less complete for Indigenous patients (Box 2).
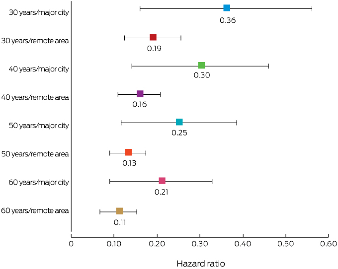
As the hazard ratio (HR) for wait-listing varied with time, we adopted a piecewise approach to analyses for the first year of RRT and for subsequent years.7 In the first year of RRT, interactions between Indigenous status and each of age and remoteness were statistically significant (Box 3). Accordingly, the adjusted HR (Indigenous v non-Indigenous patients) during the first year of RRT varied by age and remoteness. For each combination of remoteness and age group, Indigenous patients were substantially less likely to be wait-listed; the HR declined with age, and was lower for patients from remote regions than those from major cities (Box 4).
For subsequent years of RRT, the adjusted HR (Indigenous v non-Indigenous patients) for being added to the waiting list was 0.90 (95% CI, 0.50–1.6; ie, no significant difference); there were no statistically significant interactions between Indigenous status and age or remoteness (data not shown).
Other factors associated with reduced likelihood of wait-listing (all years) were being female, BMI greater than 30 kg/m2, comorbid conditions, smoking, primary renal disease, and late referral (Box 3).
Characteristics of patients on the kidney transplantation waiting list
Of the 217 Indigenous patients placed on the waiting list, 96 (44.2%) were women, as were 1412 of 3829 non-Indigenous wait-listed patients (36.9%; P = 0.029). The median age at the start of RRT was 43 years (IQR, 36–51 years) for Indigenous and 48 years (IQR, 39–55 years) for non-Indigenous patients (P < 0.001). The prevalence of comorbid conditions was lower among patients placed on the waiting list than among those who were not (Indigenous and non-Indigenous combined) (Box 5).
All comorbid conditions (except cerebrovascular disease: odds ratio [OR], 0.92, 95% CI, 0.40–1.90) were more frequent among Indigenous than non-Indigenous patients on the waiting list: current smoking (OR, 2.40; 95% CI, 1.72–3.35), diabetes mellitus (types 1 and 2: OR, 5.90; 95% CI, 4.36–7.98), coronary artery disease (OR, 2.53; 95% CI, 1.77–3.60), chronic lung disease (OR, 1.74; 95% CI, 1.10–2.76), and peripheral vascular disease (OR, 2.20; 95% CI, 1.46–3.32); 38.7% of Indigenous patients and 64.4% of non-Indigenous patients on the transplant waiting list had no comorbid conditions (P < 0.001).
The median time to kidney transplantation after wait-listing was 266 days (IQR, 70–882 days) for Indigenous patients and 378 days (IQR, 125–885 days) for non-Indigenous patients (P < 0.029). Of 4046 participants on the waiting list, 2552 (63.1%) received a deceased donor kidney: 2417 of non-Indigenous (63.1%) and 135 Indigenous patients (62.2%).
After initial placement on the transplant waiting list, 164 patients died without receiving a deceased donor kidney: 147 non-Indigenous (3.8%) and 17 Indigenous patients (7.8%). The death rate from the date of initial listing to the end of the study period was 48.3 per 1000 person-years (95% CI, 30.1–77.8 per 1000 person-years) for the Indigenous group and 22.9 per 1000 person-years (95% CI, 19.5–27.0 per 1000 person-years) for the non-Indigenous group. Among those active on the transplant waiting list, the adjusted HR (Indigenous v non-Indigenous) for death after initial placement on the waiting list was 0.78 (95% CI, 0.43–1.42).
Likelihood of transplantation among those on the transplant waiting list
The likelihood of transplantation for Indigenous patients during the first year of wait-listing was similar to that for non-Indigenous patients, and did not vary over time. For transplantation in patients aged 40 in the first year of wait-listing, the adjusted HR (Indigenous v non-Indigenous) for the RRT period 2006–2009 was 1.4 (95% CI, 0.9–1.9), for 2010–2013 it was 1.8 (95% CI, 1.2–2.4), and for 2014–2016 it was 1.6 (95% CI, 0.6–2.6). There was no statistically significant interaction between Indigenous status with period of RRT during the first year of treatment.
The adjusted HR for transplantation (Indigenous v non-Indigenous, all periods of RRT) for subsequent years of wait-listing was 0.4 (95% CI, 0.3–0.6). Other factors that significantly influenced the probability of kidney transplantation were age (per year: HR, 1.01; 95% CI, 1.00–1.01), sex (men v women: HR, 1.18; 95% CI, 1.09–1.28), BMI (≥ 30 kg/m2 v < 30 kg/m2: HR, 1.15; 95% CI, 1.05–1.25), and diabetes (HR, 0.85; 95% CI, 0.76–0.94) (Box 6).
Discussion
Despite the increasing availability of nephrology services in recent years and national criteria for assessing patients to be placed on the kidney transplantation waiting list,10,11 Indigenous Australians undergoing dialysis are still substantially less likely than non-Indigenous Australians to be placed on the waiting list. Multivariate analysis indicated that this disparity was not explained by differences in kidney disease aetiology, BMI, comorbid conditions, late referral for RRT, location of treatment, or remoteness, and has not changed with time. The difference was greater among patients who are older and living in remote areas. For people on the waiting list, the likelihood of receiving a transplant is higher in the first year and is similar for Indigenous and non-Indigenous Australians (43.8% v 31.9% underwent transplantation in the first year of wait-listing), but is significantly lower for Indigenous patients in subsequent years.
We analysed more accurate and detailed information on the waiting list status of patients than earlier studies, including exact dates of listing5 and more recent data (2006–2016). Our findings therefore reflect current clinical practice, with nephrology services well established in more remote areas of central and northern Australia. It is notable, however, that the unexplained differences we found are similar to those reported 20 years ago.6
The difference in likelihood of wait-listing was significant for the first year of RRT and for patients in remote locations, but not during subsequent years of RRT. This is likely to reflect geographic factors (living further from major centres is a barrier to testing and clinical review as part of transplantation assessment)12 and factors associated with remoteness not assessed in our study, such as cultural differences, communication problems, and different understanding of health.5,13,14 In addition, patients in remote areas may spend much of their first year on dialysis dealing with problems of re-location and adjusting to the demands of treatment rather than assessment for transplantation. The reduction of these differences over time suggests that this situation can be improved.
The difference between Indigenous and non-Indigenous patients in the likelihood of being placed on the transplantation waiting list has not changed with time. Placement on the transplant waiting list is the culmination of a series of steps and assessments, including the patient deciding to pursue this path and the treating clinician registering this decision, initial medical assessment and referral for consideration for transplantation, education of the patient about the merits of transplantation, and assessment by the transplantation unit. We do not know how many patients in our study were not referred for wait-listing because they decided not to proceed. However, in a recent analysis of comprehensive interviews of 143 Indigenous patients with end-stage kidney disease from 26 urban, rural, and remote sites across Australia, 90% of participants expressed strong interest in receiving a transplant.15
In the jurisdictions in Australia where most transplantations for Indigenous patients are performed (South Australia, Northern Territory, Western Australia), about 80% of kidneys are allocated according to waiting time,10 calculated from the start of RRT for wait-listed patients. Delays in being accepted for the waiting list consequently lead to patients being near the top of the list at the time of listing, increasing their likelihood of transplantation soon after listing. This is reflected in the shorter median time to transplantation after wait-listing and higher rates of transplantation in the first year after placement on the waiting list, after which the transplantation rate falls.
Strategies for improving access to and use of renal services by Indigenous patients have been implemented in recent decades.16 Much more is known about challenges to providing high quality renal care for Indigenous patients,5,14 but there have been no specific national policy changes with the aim of improving access to transplantation. At the clinical level, outcomes after transplantation, in terms of both graft function and patient survival, are considerably poorer for Indigenous patients,17 particularly for those from remote areas.18 The potential benefits for patients must be balanced against these risks when making decisions about treatment.
Limitations
The relatively small number of transplants received by Indigenous patients during 2006–2016, the limited data on comorbid conditions, and the difficulty of analysing the complex interactions involved in the effect of remoteness on access to transplantation all complicate interpretation of our findings. There are probably a number of other, unmeasured factors that influence wait-listing and transplantation rates.19 In particular, the ANZDATA registry does not record active infections or the severity of comorbid conditions, which may have led to our underestimating the effect of comorbid conditions on wait-listing and access to transplantation. Further relevant socio-demographic factors — including first language spoken, education level, health literacy, housing status — could also affect access to transplantation. Area-level socio-economic indices for the Indigenous residents of a postcode, rather than all residents, are not readily available. Further, registry data do not account for the re-location of many Indigenous Australians to receive dialysis treatment; that is, their postcode at the start of RRT may not reflect their community of origin. All these factors could delay wait-listing.13,14
Conclusion
Indigenous patients with end-stage kidney disease are less likely than non-Indigenous Australians to be wait-listed for transplantation. This disparity was particularly marked for the first year of RRT, and was not explained by the patient- and disease-related factors assessed. The difference in access early in RRT may reflect remoteness of Indigenous patients undergoing dialysis, and this should be a priority area for improving health service delivery. As the burden of comorbid conditions among Indigenous patients on the transplantation waiting list was higher than for non-Indigenous patients, maintaining health and preventing the development of comorbid conditions should receive more attention. Further work at policy and practice levels is required to improve successful kidney transplantation for Indigenous Australians.
Box 1 – Baseline characteristics of the 10 839 eligible patients included in the study
|
Baseline characteristics |
Non-Indigenous Australians |
Indigenous Australians |
P |
||||||||||||
|
|
|||||||||||||||
|
Number of patients |
8800 |
2039 |
|
||||||||||||
|
Age at renal replacement therapy initiation (years), median (IQR) |
50.0 (41.0–56.0) |
49.0 (41.0–54.0) |
< 0.001 |
||||||||||||
|
Sex (women) |
3298 (37.5%) |
1106 (54.2%) |
< 0.001 |
||||||||||||
|
Remoteness category |
|
|
< 0.001 |
||||||||||||
|
Major cities |
6369 (72.4%) |
297 (14.6%) |
|
||||||||||||
|
Inner regional |
1524 (17.3%) |
165 (8.1%) |
|
||||||||||||
|
Outer regional |
708 (8.0%) |
611 (30.0%) |
|
||||||||||||
|
Remote |
91 (1.0%) |
471 (23.1%) |
|
||||||||||||
|
Very remote |
31 (0.4%) |
471 (23.1%) |
|
||||||||||||
|
Missing data |
77 (0.9%) |
24 (1.2%) |
|
||||||||||||
|
Body mass index (kg/m2), median (IQR) |
27.4 (23.3–32.9) |
28.3 (23.9–33.3) |
< 0.001 |
||||||||||||
|
Current smoker (start of renal replacement therapy) |
1456 (16.8%) |
637 (31.7%) |
< 0.001 |
||||||||||||
|
Comorbid conditions |
|
|
|
||||||||||||
|
Diabetes |
3273 (37.4%) |
1624 (79.7%) |
< 0.001 |
||||||||||||
|
Coronary artery disease |
1980 (22.6%) |
730 (36.0%) |
< 0.001 |
||||||||||||
|
Peripheral vascular disease |
1435 (16.4%) |
493 (24.3%) |
< 0.001 |
||||||||||||
|
Cerebrovascular disease |
754 (8.6%) |
212 (10.4%) |
0.010 |
||||||||||||
|
Chronic lung disease |
942 (10.8%) |
332 (16.4%) |
< 0.001 |
||||||||||||
|
None |
4206 (48.2%) |
260 (12.8%) |
< 0.001 |
||||||||||||
|
Late referral |
1954 (22.2%) |
476 (23.3%) |
0.06 |
||||||||||||
|
Primary renal disease |
|
|
< 0.001 |
||||||||||||
|
Glomerulonephritis, polycystic, hypertensive, diabetic nephropathy, reflux |
7223 (83.0%) |
1851 (91.5%) |
|
||||||||||||
|
Other |
1479 (17.0%) |
171 (8.5%) |
|
||||||||||||
|
Outcome |
|
|
< 0.001 |
||||||||||||
|
Wait-listed |
3829 (43.5%) |
217 (10.6%) |
|
||||||||||||
|
Transplantation before wait-listing |
20 (0.2%) |
0 |
|
||||||||||||
|
Death before wait-listing |
1604 (18.2%) |
644 (31.6%) |
|
||||||||||||
|
Censored |
3347 (38.0%) |
1178 (57.8%) |
|
||||||||||||
|
Age at wait-listing (years), median (IQR) |
49.0 (39.0–56.0) |
46.0 (38.0–53.0) |
0.004 |
||||||||||||
|
Time from RRT start to wait-listing (days), median (IQR) |
416.0 (166.5–1004.0) |
942.0 (439.0–1775.0) |
< 0.001 |
||||||||||||
|
|
|||||||||||||||
|
IQR = interquartile range. |
|||||||||||||||
Box 2 – Unadjusted Kaplan–Meier curve for cumulative incidence of wait-listing after initiation of renal replacement therapy, by Indigenous status

Box 3 – Multivariate Cox model of being placed on the waiting list for kidney transplantation, with frailty shared at state level
|
|
Adjusted hazard ratio* (95% CI) |
P |
|||||||||||||
|
|
|||||||||||||||
|
Indigenous Australian (first year of renal replacement therapy) |
0.62 (0.29–1.35) |
0.23 |
|||||||||||||
|
Indigenous Australian (subsequent years of renal replacement therapy) |
0.90 (0.50–1.62) |
0.73 |
|||||||||||||
|
Other covariates |
|
|
|||||||||||||
|
Very remote/remote/regional areas (v major cities) |
0.92 (0.85–0.99) |
0.019 |
|||||||||||||
|
Interaction: Indigenous status and remote location |
0.53 (0.29–0.97) |
0.038 |
|||||||||||||
|
Age (per year) |
0.99 (0.987–0.993) |
< 0.001 |
|||||||||||||
|
Interaction: Indigenous status and age |
0.98 (0.97–0.99) |
0.006 |
|||||||||||||
|
Sex (men v women) |
1.18 (1.10–1.26) |
< 0.001 |
|||||||||||||
|
Body mass index ≥ 30 kg/m2 |
0.61 (0.57–0.66) |
< 0.001 |
|||||||||||||
|
Primary renal disease† |
0.58 (0.53–0.64) |
< 0.001 |
|||||||||||||
|
Diabetes |
0.41 (0.38–0.45) |
< 0.001 |
|||||||||||||
|
Coronary artery disease |
0.66 (0.60–0.73) |
< 0.001 |
|||||||||||||
|
Chronic lung disease |
0.68 (0.60–0.78) |
< 0.001 |
|||||||||||||
|
Peripheral vascular disease |
0.72 (0.64–0.82) |
< 0.001 |
|||||||||||||
|
Cerebrovascular disease |
0.60 (0.51–0.70) |
< 0.001 |
|||||||||||||
|
Smoker |
0.47 (0.43–0.52) |
< 0.001 |
|||||||||||||
|
Late referral |
0.68 (0.62–0.73) |
< 0.001 |
|||||||||||||
|
Renal replacement therapy, 2010–2013 (v 2006–2009) |
1.07 (1.00–1.16) |
0.039 |
|||||||||||||
|
Renal replacement therapy, 2014–2016 (v 2006–2009) |
1.04 (0.95–1.13) |
0.40 |
|||||||||||||
|
|
|||||||||||||||
|
* Adjusted for age at the start of renal replacement therapy, sex, body mass index, smoking, diabetes, peripheral vascular disease, coronary artery disease, cerebrovascular disease, late referral and state where renal replacement therapy was started). † Including category 1: glomerulonephritis, polycystic kidney disease, reflux nephropathy, hypertensive nephropathy, diabetic nephropathy; category 2: other diseases reported as causing primary renal disease. |
|||||||||||||||
Box 4 – Adjusted hazard ratios* (with 95% confidence intervals) for wait-listing during the first year of renal replacement therapy (Indigenous v non-Indigenous patients), by age and remoteness category

* Adjusted for age at the start of renal replacement therapy, sex, body mass index, smoking, diabetes, peripheral vascular disease, coronary artery disease, cerebrovascular disease, late referral and state where renal replacement therapy was started). Remote area refers to inner regional, outer regional, remote and very remote areas combined.
Box 5 – Comorbid conditions in patients with end-stage kidney stage placed or not placed on the waiting list for kidney transplantation
|
Comorbid condition |
Odds ratio* (95% CI) |
||||||||||||||
|
|
|||||||||||||||
|
Current smoker |
0.49 (0.45–0.54) |
||||||||||||||
|
Diabetes (types 1 and 2) |
0.32 (0.29–0.35) |
||||||||||||||
|
Coronary artery disease |
0.44 (0.41–0.48) |
||||||||||||||
|
Cerebrovascular disease |
0.41 (0.36–0.48) |
||||||||||||||
|
Peripheral vascular disease |
0.37 (0.33–0.41) |
||||||||||||||
|
Chronic lung disease |
0.48 (0.42–0.54) |
||||||||||||||
|
|
|||||||||||||||
|
CI = confidence interval. * Patients who were wait-listed v patients who were not wait-listed during the follow-up period, adjusted for age at the start of renal replacement therapy, sex, and Indigenous status. |
|||||||||||||||
Box 6 – Multivariate Cox model of the likelihood of receiving a deceased donor kidney after being placed on the waiting list for transplantation, with frailty shared at state level
|
|
Adjusted hazard ratio* (95% CI) |
P |
|||||||||||||
|
|
|||||||||||||||
|
Indigenous Australian: first year on waiting list |
1.24 (0.89–1.73) |
0.20 |
|||||||||||||
|
Indigenous Australian: subsequent years on waiting list |
0.40 (0.29–0.55) |
< 0.001 |
|||||||||||||
|
Other covariates |
|
|
|||||||||||||
|
Sex (men v women) |
1.18 (1.09–1.28) |
< 0.001 |
|||||||||||||
|
Age (per year) |
1.01 (1.00–1.01) |
0.007 |
|||||||||||||
|
Body mass index ≥ 30 kg/m2 |
1.15 (1.05–1.25) |
0.002 |
|||||||||||||
|
Primary renal disease† |
1.02 (0.91–1.14) |
0.76 |
|||||||||||||
|
Diabetes |
0.85 (0.76–0.94) |
0.002 |
|||||||||||||
|
Chronic lung disease |
0.97 (0.82–1.14) |
0.68 |
|||||||||||||
|
Cerebrovascular disease |
1.20 (0.99–1.46) |
0.07 |
|||||||||||||
|
Coronary artery disease |
0.91 (0.80–1.03) |
0.14 |
|||||||||||||
|
Peripheral vascular disease |
0.99 (0.84–1.16) |
0.90 |
|||||||||||||
|
Smoker |
1.04 (0.92–1.17) |
0.58 |
|||||||||||||
|
Late referral |
1.09 (0.99–1.21) |
0.09 |
|||||||||||||
|
Very remote/remote/regional areas (v major cities) |
0.99 (0.91–1.09) |
0.89 |
|||||||||||||
|
Renal replacement therapy, 2010–2013 (v 2006–2009) |
1.49 (1.36–1.62) |
< 0.001 |
|||||||||||||
|
Renal replacement therapy, 2014–2016 (v 2006–2009) |
1.46 (1.27–1.67) |
< 0.001 |
|||||||||||||
|
Interaction: Indigenous status and period of renal replacement therapy |
|
|
|||||||||||||
|
Indigenous Australian: renal replacement therapy, 2010–2013 |
0.88 (0.56–1.36) |
0.56 |
|||||||||||||
|
Indigenous Australian: renal replacement therapy, 2014–2016 |
0.80 (0.40–1.58) |
0.52 |
|||||||||||||
|
|
|||||||||||||||
|
* Adjusted for age at the start of renal replacement therapy, sex, body mass index, smoking, diabetes, peripheral vascular disease, coronary artery disease, cerebrovascular disease, late referral and state where renal replacement therapy was started). † Including category 1: glomerulonephritis, polycystic kidney disease, reflux nephropathy, hypertensive nephropathy, diabetic nephropathy; category 2: other diseases reported as causing primary renal disease. |
|||||||||||||||
A correction to this article is available at https://www.mja.com.au/journal/2018/209/11/correction
Received 24 March 2018, accepted 4 July 2018
- Namrata Khanal1,2
- Paul D Lawton3
- Alan Cass3
- Stephen P McDonald1,2,4
- 1 University of Adelaide, Adelaide, SA
- 2 Central and Northern Adelaide Renal and Transplantation Services, Royal Adelaide Hospital, Adelaide, SA
- 3 Menzies School of Health Research, Charles Darwin University, Darwin, NT
- 4 Australia and New Zealand Dialysis and Transplant Registry (ANZDATA), Adelaide, SA
No relevant disclosures.
- 1. Stewart JH, McCredie MR, McDonald SP. The incidence of treated end-stage renal disease in New Zealand Maori and Pacific Island people and in Indigenous Australians. Nephrol Dial Transplant 2004; 19: 678-685.
- 2. Australian Institute of Health and Welfare. The health and welfare of Australia’s Aboriginal and Torres Strait Islander peoples: 2015 (AIHW Cat. No. IHW 147). Canberra: AIHW, 2015. https://www.aihw.gov.au/reports/indigenous-health-welfare/indigenous-health-welfare-2015/contents/health-disability-key-points (viewed July 2018).
- 3. Wolfe RA, Ashby VB, Milford EL, et al. Comparison of mortality in all patients on dialysis, patients on dialysis awaiting transplantation, and recipients of a first cadaveric transplant. N Engl J Med 1999; 341: 1725-1730.
- 4. Rabbat CG, Thorpe KE, Russell JD, Churchill DN. Comparison of mortality risk for dialysis patients and cadaveric first renal transplant recipients in Ontario, Canada. J Am Soc Nephrol 2000; 11: 917-922.
- 5. Cass A, Cunningham J, Snelling P, et al. Renal transplantation for Indigenous Australians: identifying the barriers to equitable access. Ethn Health 2003; 8: 111-119.
- 6. Yeates KE, Cass A, Sequist TD, et al. Indigenous people in Australia, Canada, New Zealand and the United States are less likely to receive renal transplantation. Kidney Int 2009; 76: 659-664.
- 7. Lindholt JS, Juul S, Fasting H, Henneberg EW. Screening for abdominal aortic aneurysms: single centre randomised controlled trial. BMJ 2005; 330: 750.
- 8. Australian Bureau of Statistics. 1270.0.55.006. Australian Statistical Geography Standard (ASGS): correspondences, July 2011: postcode 2012 to remoteness area 2011. June 2012. http://www.abs.gov.au/AUSSTATS/abs@.nsf/DetailsPage/1270.0.55.006July%202011?OpenDocument (viewed July 2018).
- 9. Sen S, Tom M, Geetha M, Satheesan B. Estimating unknown heterogeneity in head and neck cancer survival: a parametric shared frailty approach. Electronic Journal of Applied Statistical Analysis 2017; 10: 82-92.
- 10. The Transplantation Society of Australia and New Zealand. Clinical guidelines for organ transplantation from deceased donors. Version 1.1. May 2017. https://www.tsanz.com.au/organallocationguidelines/documents/ClinicalGuidelinesV1.1May2017.pdf (viewed July 2018).
- 11. National Health and Medical Research Council. Ethical guidelines for organ transportation from deceased donors. Canberra: National Health and Medical Research Council. Apr 2016. https://www.nhmrc.gov.au/_files_nhmrc/file/publications/16113_nhmrc_ethical_guidelines_fot_web_0.pdf (viewed July 2018).
- 12. Alexander G, Sehgal A. Barriers to cadaveric renal transplantation among blacks, women, and the poor. JAMA 1998; 280: 1148-1152.
- 13. Anderson K, Cunningham J, Devitt J, Cass A. The IMPAKT study: using qualitative research to explore the impact of end-stage kidney disease and its treatments on aboriginal and Torres Strait Islander Australians. Kidney Int Suppl 2013; 3: 223-226.
- 14. Cass A, Lowell A, Christie M, et al. Sharing the true stories: improving communication between Aboriginal patients and healthcare workers. Med J Aust 2002; 176: 466-470. <MJA full text>
- 15. Devitt J, Anderson K, Cunningham J, et al. Difficult conversations: Australian Indigenous patients’ views on kidney transplantation. BMC Nephrol 2017; 18: 310.
- 16. Cass A, Feyer A, Brown A, et al. Central Australia Renal Study. Canberra: Australian Department of Health and Ageing; 2011. http://www.health.gov.au/internet/main/publishing.nsf/content/B442C16562A8AC37CA257BF0001C9649/$File/Final%20Report%20Central%20Australia%20Renal%20Study.pdf (viewed July 2018).
- 17. Australia and New Zealand Dialysis and Transplant Registry. End stage kidney disease in Indigenous peoples of Australia and Aotearoa/New Zealand. In: ANZDTA Registry, 39th annual report. Adelaide: ANZDATA, 2016. http://www.anzdata.org.au/anzdata/AnzdataReport/39thReport/c12_indigenous_v5.0_20170821.pdf (viewed July 2018).
- 18. Barraclough KA, Grace BS, Lawton P, McDonald SP. Residential location and kidney transplant outcomes in indigenous compared with nonindigenous Australians. Transplantation 2016; 100: 2168-2176.
- 19. Kotwal S, Webster AC, Cass A, Gallagher M. Comorbidity recording and predictive power of comorbidities in the Australia and New Zealand dialysis and transplant registry compared with administrative data: 2000-2010. Nephrology (Carlton) 2016; 21: 930-937.


Abstract
Objective: To compare the likelihood of Indigenous and non-Indigenous Australians being placed on the waiting list for transplantation of a kidney from a deceased donor; to compare the subsequent likelihood of transplantation.
Design, setting and participants: Observational cohort study; analysis of data from the Australia and New Zealand Dialysis and Transplant (ANZDATA) Registry for patients aged 18–60 years at the start of renal replacement therapy, who commenced renal replacement therapy in Australia between 28 June 2006 and 31 December 2016.
Main outcome measures: Time to wait-listing; time to kidney transplantation after wait-listing.
Results: 10 839 patients met the inclusion criteria, of whom 2039 (19%) were Indigenous Australians; 217 Indigenous and 3829 non-Indigenous patients were active on the waiting list at least once during the study period. The hazard ratio (HR) for wait-listing (Indigenous v non-Indigenous patients, adjusted for patient- and disease-related factors) in the first year of renal replacement therapy varied with age and remoteness (range, 0.11 [95% CI, 0.07–0.15] to 0.36 [95% CI, 0.16–0.56]); in subsequent years the adjusted HR was 0.90 (95% CI, 0.50–1.6). The adjusted HR for transplantation during the first year of wait-listing did not differ significantly from 1.0; for subsequent years of wait-listing, however, the adjusted HR was 0.40 (95% CI, 0.29–0.55).
Conclusion: Disparities between Indigenous and non-Indigenous patients with end-stage kidney disease in access to kidney transplantation are not explained by patient- or disease-related factors. Changes in policy and practice are needed to reduce these differences.